• Предмет: Алгебра
  • Автор: v032643
  • Вопрос задан 3 года назад

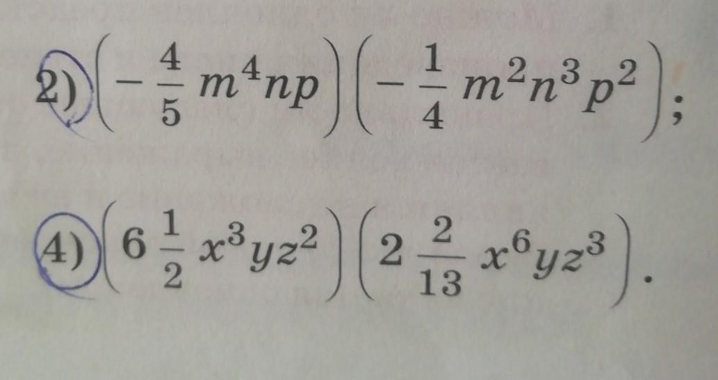
10.8.

помогите пожалуйста ​

Приложения:

Ответы

Ответ дал: ildar502020
1

Ответ:

Объяснение:

(-4/5m⁴np)(-1/4m²n³p²)=(-4/5 * (-1/4))m⁶n⁴p³ = 4/20 m⁶n⁴p³ = 1/5m⁶n⁴p³ =

=0.2m⁶n⁴p³.

(6 1/2x³yz²)(2  2/13x⁶yz³)=(6 1/2 * 2 2/13) x⁹y²z⁵=13/2*28/13*x⁹y²z⁵=

=14x⁹y²z⁵.

Вас заинтересует