.как определить куда сместиться график при + или - (в какие стороны и по какой оси в зависимости от знака)
Ответы
Ответ дал:
0
Ответ:
Объяснение:
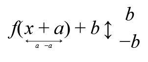
cхема простая: для функции y=f(x):
Приложения:

Вас заинтересует
2 года назад
2 года назад
2 года назад
7 лет назад
7 лет назад