• Предмет: Алгебра
  • Автор: egorka625382828281
  • Вопрос задан 3 года назад

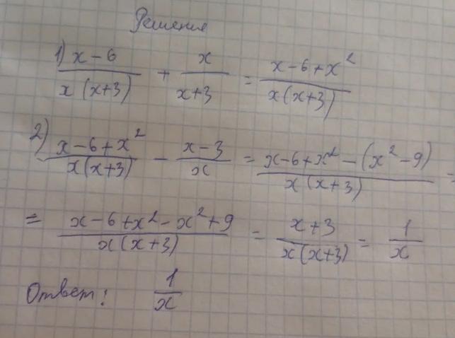
(x - 6)/(x ^ 2 + 3x) + x/(x + 3) - (x - 3)/x

Приложения:

Ответы

Ответ дал: 040595
1

Ответ:\frac{1}{x}

Объяснение:

Приложения:
Вас заинтересует