• Предмет: Алгебра
  • Автор: prostodasha2704
  • Вопрос задан 3 года назад

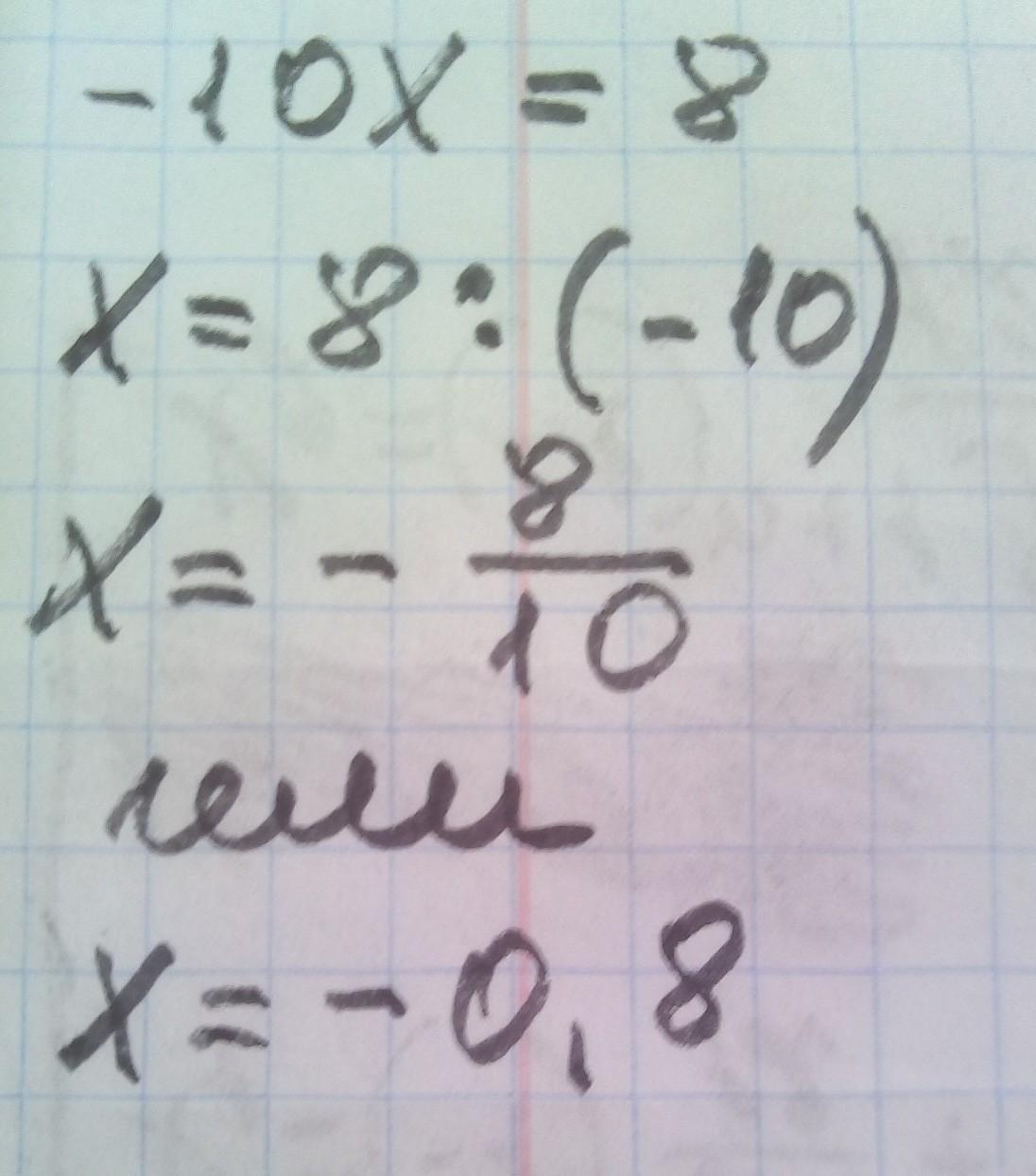
реши уровнение Срочноооо
-10x=8

Ответы

Ответ дал: manyny06
0

Ответ:

решение смотри на фотографии

Приложения:

prostodasha2704: спасибо большое
Вас заинтересует