• Предмет: Математика
  • Автор: sabinamextieva81
  • Вопрос задан 3 года назад

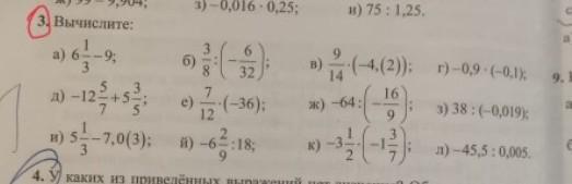
ПЖ ПЖ ПЖ ПЖ ПОМОГИТЕ ЭТО СРОЧНО!!!!!!​

Приложения:

Ответы

Ответ дал: nurayis2007
0
Скачай Photomath , он тебе поможет с такими решениями
Вас заинтересует