• Предмет: Информатика
  • Автор: soldatann30
  • Вопрос задан 3 года назад

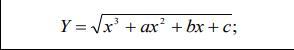
Напишите программу в Python для решения уравнения

Приложения:

Ответы

Ответ дал: Аноним
2

from math import sqrt

x = float(input("x: "))

a = float(input("a: "))

b = float(input("b: "))

c = float(input("c: "))

Y = sqrt(x**3 + a*x**2 + b*x + c)

print(Y)


yurabrodzinskyy: OROq3XpXGvrgx8TRTUd2, можете мне помочь плиз???последний вопрос у меня в профиле.
yurabrodzinskyy: "Задано речення Скласти програму, яка визначає і виводить на екран
найбільшу кількість прогалин, розташованих підряд"(python)
Вас заинтересует