Ответы
Ответ дал:
1
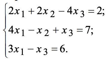
Думаю понятно написано
Приложения:

Ответ дал:
1
саме завдання я обрізала тому зразу після нього пишіть це
Приложения:

Вас заинтересует
2 года назад
2 года назад
2 года назад
9 лет назад
9 лет назад