блин челы решите по братски умоляю
училка сказала что в ответе должно 5/3 получится никак не выходит
Приложения:

zbcyjeep:
блин дам много баллов
Ответы
Ответ дал:
1
Ответ:
5/3
Пошаговое объяснение:
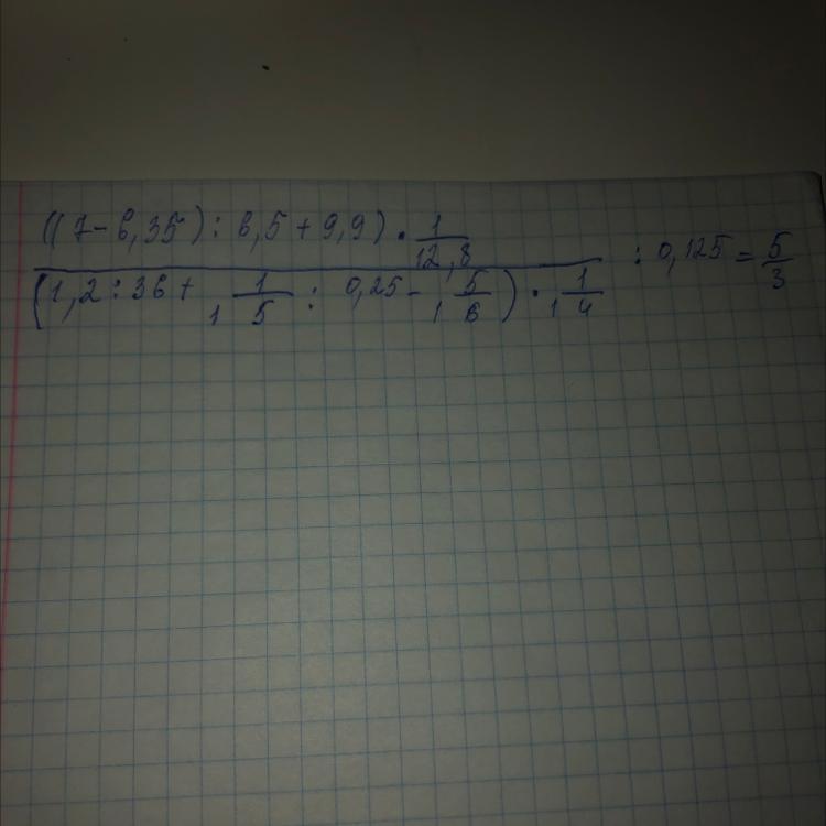
1) 7-6,35=0,65
2) 0,65:6,5=0,1
3) 0,1+9,9=10
4) 10×1/12,8=10×10/128=100/128=25/32
5) 1,2:36=12/360=1/30
6) 1 1/5:0,25=6/5:25/100=6/5:1/4=
=6/5×4/1=24/5=4 4/5
7) 1/30+4 4/5=1/30+4 24/30=4 25/30=
= 4 5/6
8) 4 5/6-1 5/6=3
9) 3×1 1/4=3/1×5/4=15/4
10) 25/32:15/4=25/32×4/15=5/8×1/3=5/24
11) 5/24:0,125=5/24:125/1000=
=5/24:1/8=5/24×8/1=5/3
Вас заинтересует
2 года назад
2 года назад
2 года назад
2 года назад
7 лет назад
7 лет назад
9 лет назад