Ответы
                                            Ответ дал: 
                                                                                    
                                        
                                            
                                                
                                                
                                                
                                                    0
                                                
                                            
                                        
                                    Ответ:
1.
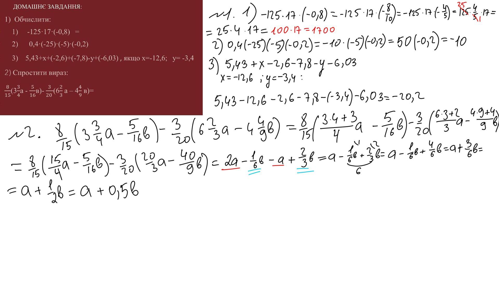
1) -125*17*(-0,8)= 125*17*0,8=100*17=1700
2) 0,4*(-25)*(-5)*(-0,2)= -(0,4*25*5*0,2)=-(10*5*0,2)=-(2*5)=-10
3) 5,43+(-12,6)+(-2,6)+(-7,8)-(-3,4)+(-6,03)= 5,43-12,6-2,6-7,8+3,4-6,03= -20,2
2.
Приложения:
                     
                            
                    nutnatella:
                    Не слишком плохо! Однако, не сделано упражнение 2.
                
            
                                            Ответ дал: 
                                                                                            
                                                    
                                                
                                                                                    
                                        
                                            
                                                
                                                
                                                
                                                    1
                                                
                                            
                                        
                                    всё на фото..............................
Приложения:
                     
                            
                    
                    Невероятно!...
                
            Вас заинтересует
                
                        2 года назад
                    
                
                        2 года назад
                    
                
                        2 года назад
                    
                
                        2 года назад
                    
                
                        7 лет назад
                    
                
                        9 лет назад
                    
                