Ответы
Ответ дал:
0
Ответ:
Номер 10: - 2
Номер 11: - 5
Ответ дал:
1
Ответ:
Объяснение:
решение внизу
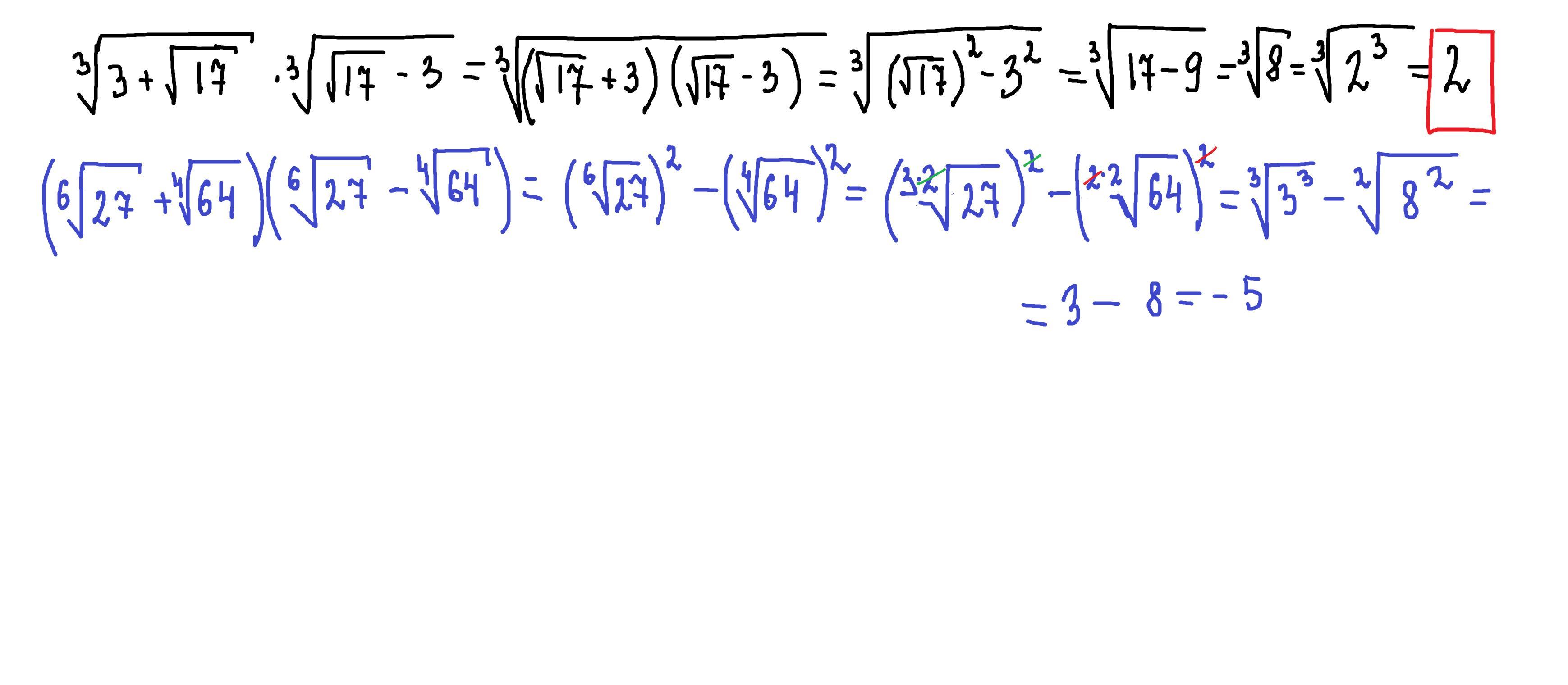
используем формулу разность квадратов (а-в)(а+в)=а²-в²
Приложения:

Вас заинтересует
2 года назад
7 лет назад
9 лет назад