• Предмет: Алгебра
  • Автор: iminovamirhan09
  • Вопрос задан 3 года назад

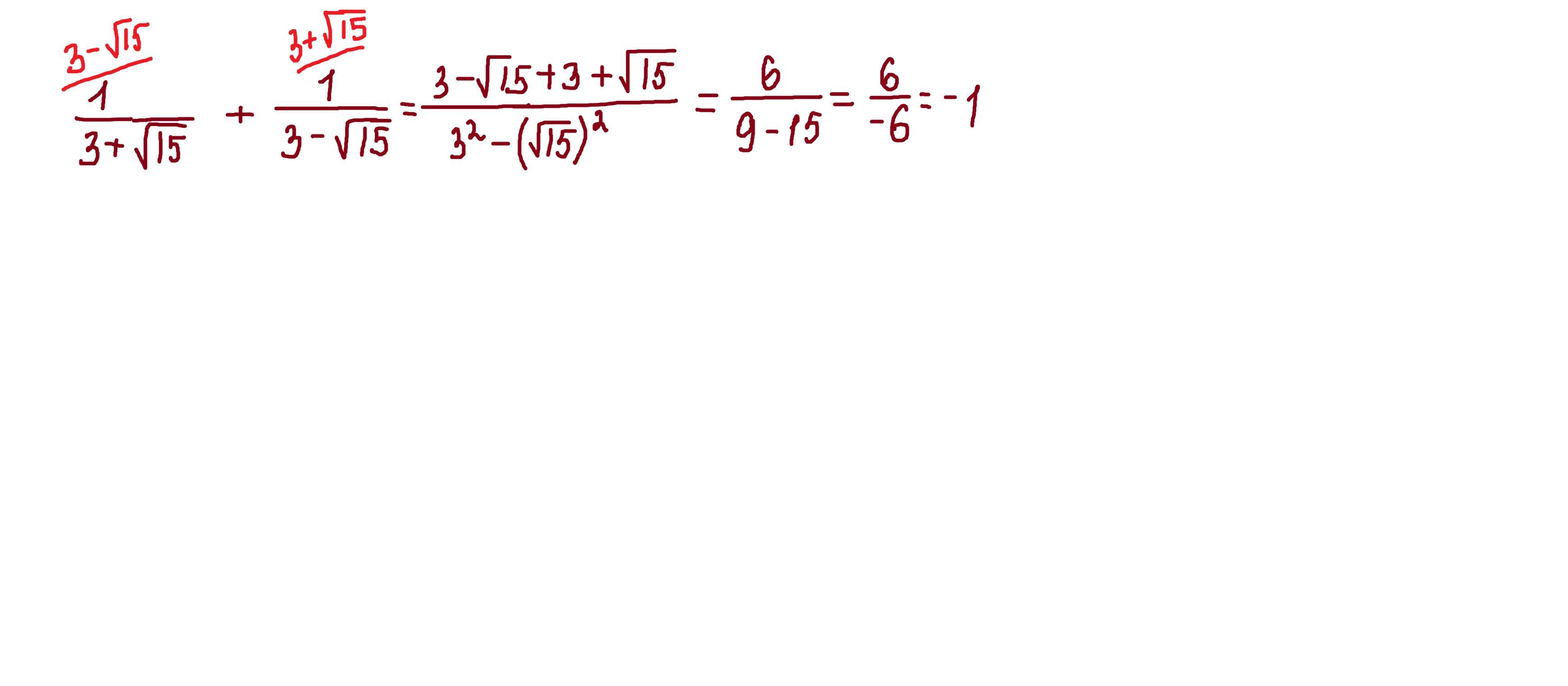
5. Докажите, что значение выражения + 3+√15 3-√√15 есть ч​исло рациональное

Приложения:

Ответы

Ответ дал: parus77
0

Ответ:

Объяснение:

получаем -1,это рациональное число

общий знаменатель-произведение знаменателей,применяем формулу

(а-в)(а+в)=а²-в²

√15  и -√15     противоположные числа,их сумма равна 0

Приложения:
Вас заинтересует