Ответы
Ответ дал:
1
Ответ:
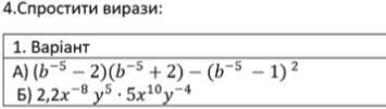
решение смотри на фотографии
Приложения:

golen1989:
Спасибо
Вас заинтересует
2 года назад
2 года назад
7 лет назад
9 лет назад