• Предмет: Математика
  • Автор: marsiline66
  • Вопрос задан 3 года назад

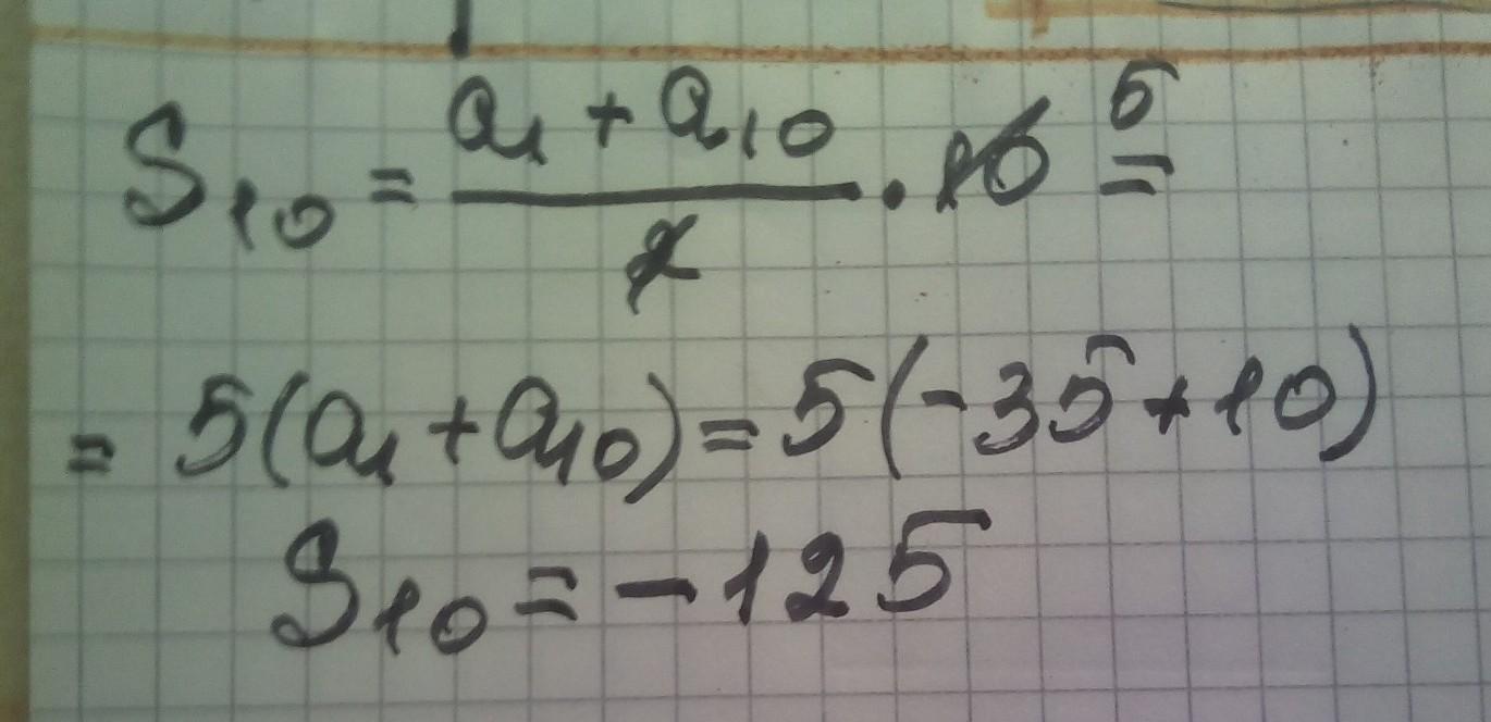
Знайдіть суму перших десяти членів арифметичної прогресії a1 = -35, а10 = 10.

Ответы

Ответ дал: manyny06
1

Ответ:

решение смотри на фотографии

Приложения:

marsiline66: Спасибо тебе огромное)))
Вас заинтересует