• Предмет: Алгебра
  • Автор: dsokorinska
  • Вопрос задан 3 года назад

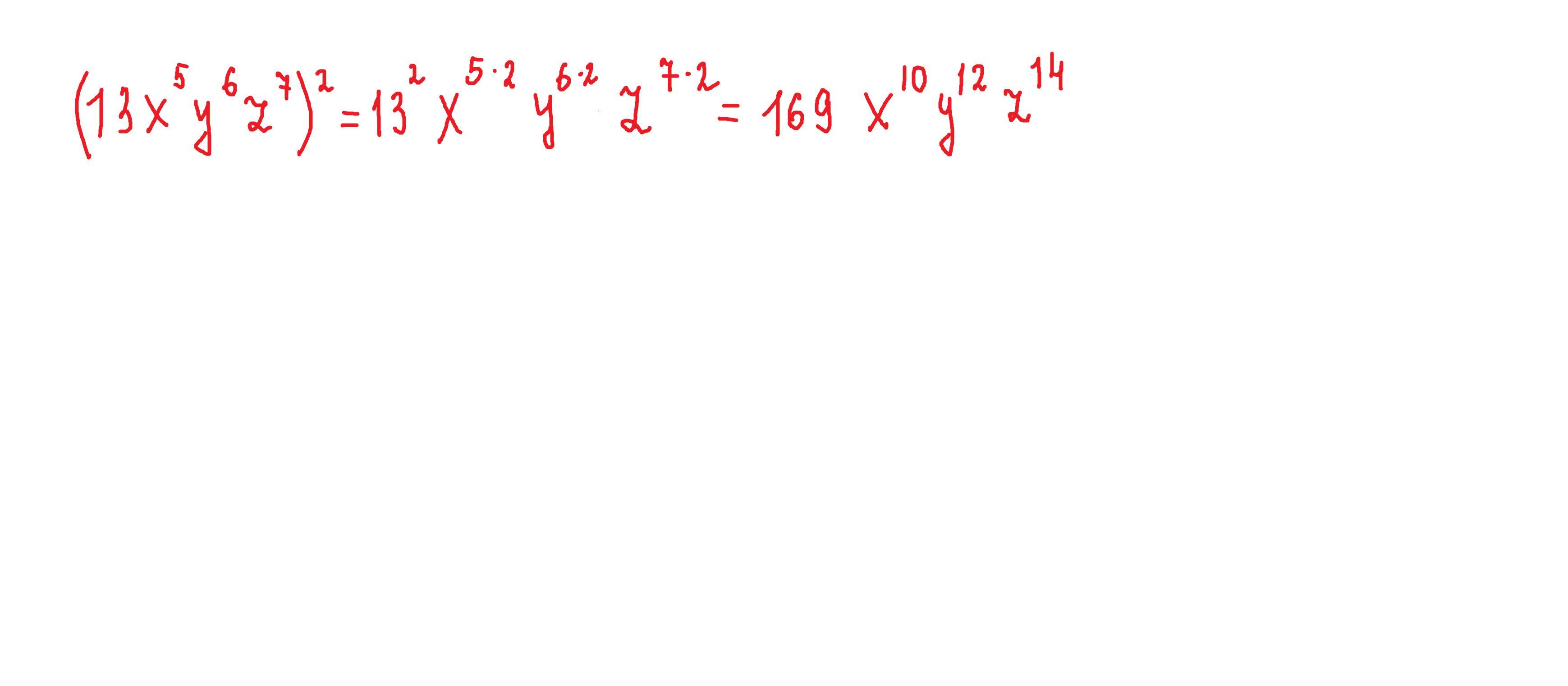
Треба піднести до степеня
(13x⁵y⁶z⁷)²

Ответы

Ответ дал: parus77
2

Ответ:

Объяснение:

решение внизу

Приложения:
Вас заинтересует