• Предмет: Математика
  • Автор: Askeladd17
  • Вопрос задан 3 года назад

Даю 20 баллов помогите пожалуйста решить

Приложения:

Ответы

Ответ дал: arsik32
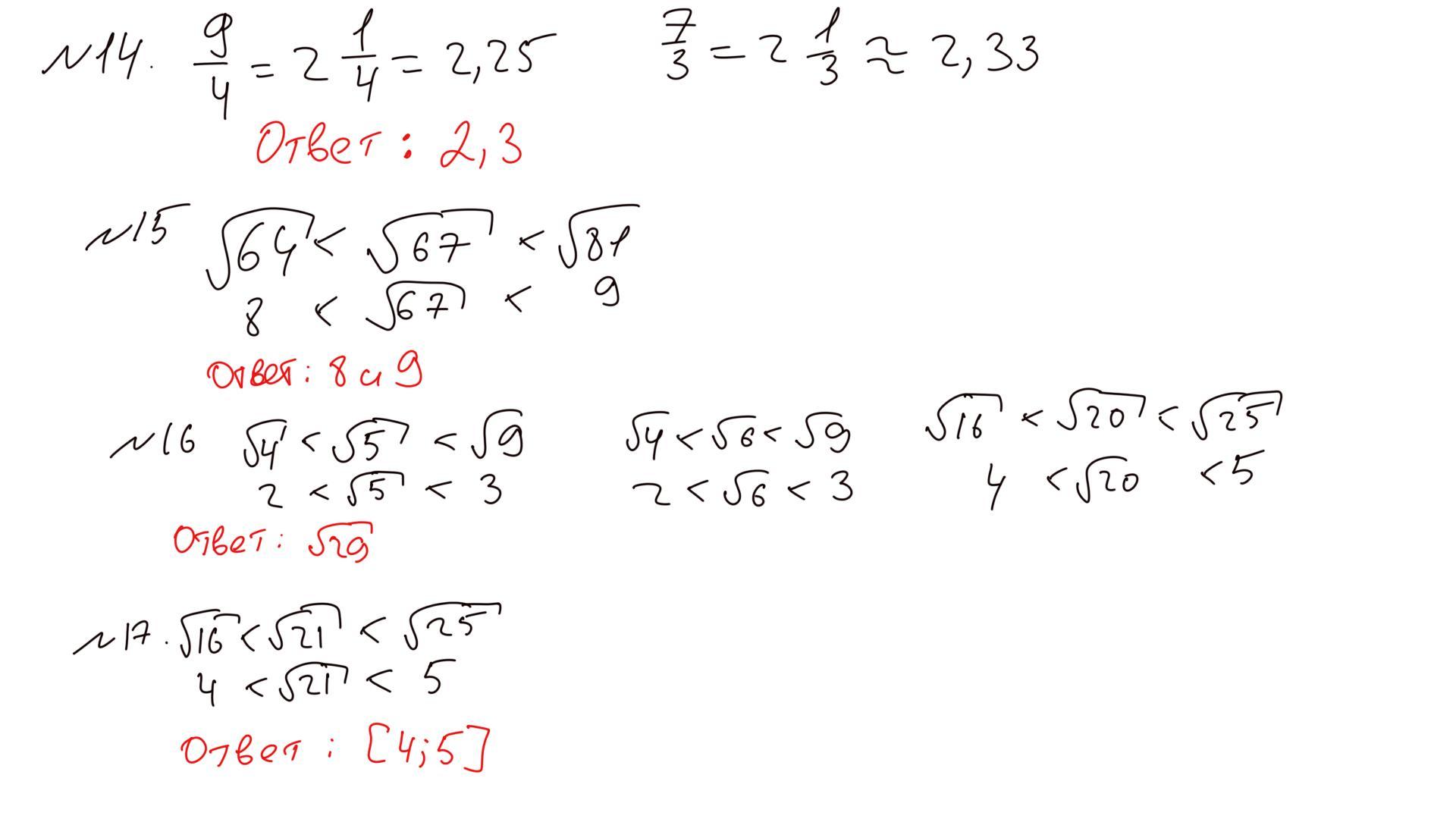
1

1) 3

2)3

3) 4
4) 2

всё на фото

Приложения:

Askeladd17: спасибо братан
Вас заинтересует