• Предмет: Алгебра
  • Автор: lanamilanago
  • Вопрос задан 3 года назад

Всем привет,помогите пожалуйста,спасибо за любую помощь
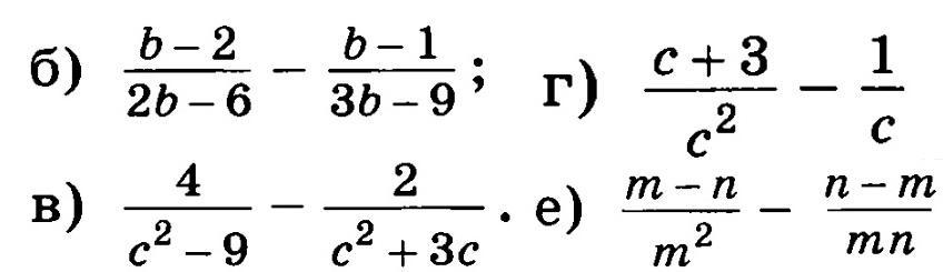
Представить в виде дроби

Приложения:

Ответы

Ответ дал: mvertaletcka
1

Ответ:

Фото

Объяснение:

Приложения:

lanamilanago: Спасибо огромное
Вас заинтересует