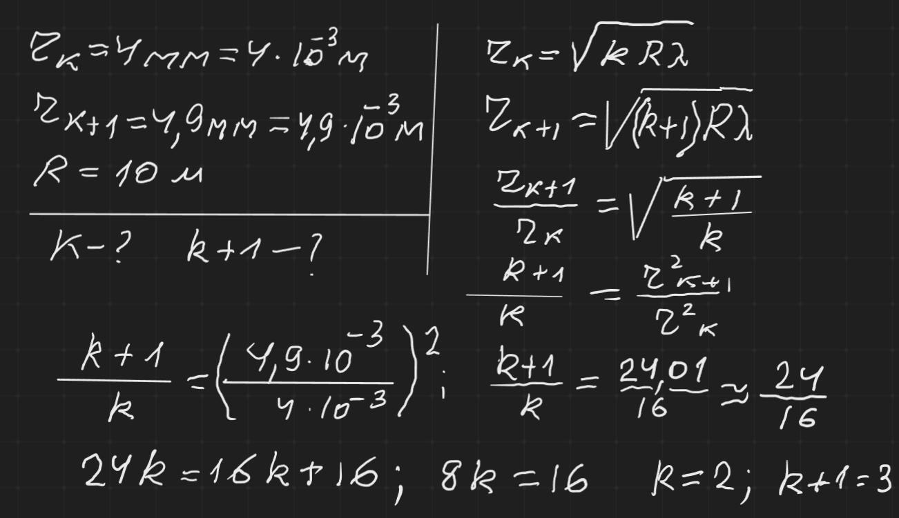
С РЕШЕНИЕМ!!!!100БАЛЛОВ!!!Радіуси двох сусідніх світлих кілець Ньютона, які спостерігаються в прохідному
світлі, дорівнюють 4 мм і 4,9 мм. Визначте порядкові номери кілець, якщо радіус
кривизни лінзи — 10 м.
Ответы
Ответ дал:
1
Відповідь: 2, 3
Пояснення:
Приложения:

Вас заинтересует
2 года назад
7 лет назад
7 лет назад
9 лет назад