• Предмет: Математика
  • Автор: ksyukalashnikova07
  • Вопрос задан 3 года назад

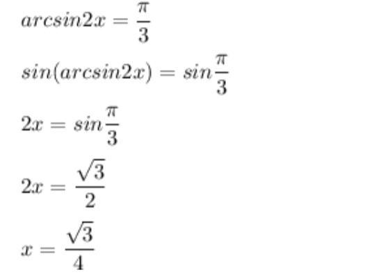
arcsin2x=π/3 срочно очень помогите​

Ответы

Ответ дал: zhanpo4
1

Ответ:

Пошаговое объяснение:

Приложения:
Вас заинтересует