• Предмет: Физика
  • Автор: leonidpodniglazov
  • Вопрос задан 3 года назад

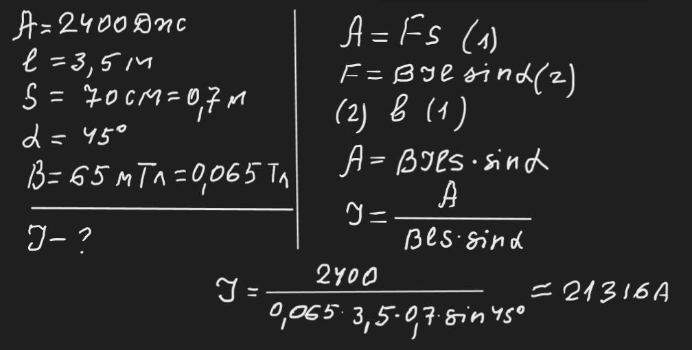
9. Сила Ампера, яка виконує роботу в 2400 Дж під час переміщення провідника,
довжина якого 3,5 м на відстань в 70 см, в однорідному магнітному полі з
індукцією 65 мТл. Провідник розміщений під кутом 45о до силових ліній.
Напрямок переміщення перпендикулярний до напрямку струму й ліній індукції.
Визначте силу струму.

Ответы

Ответ дал: zybkov1950
1

Відповідь: 21316 А

Пояснення:

Приложения:
Вас заинтересует