• Предмет: Алгебра
  • Автор: vitalinalll
  • Вопрос задан 3 года назад

Помогите пожалуйста!!
Контрольня робота! :')

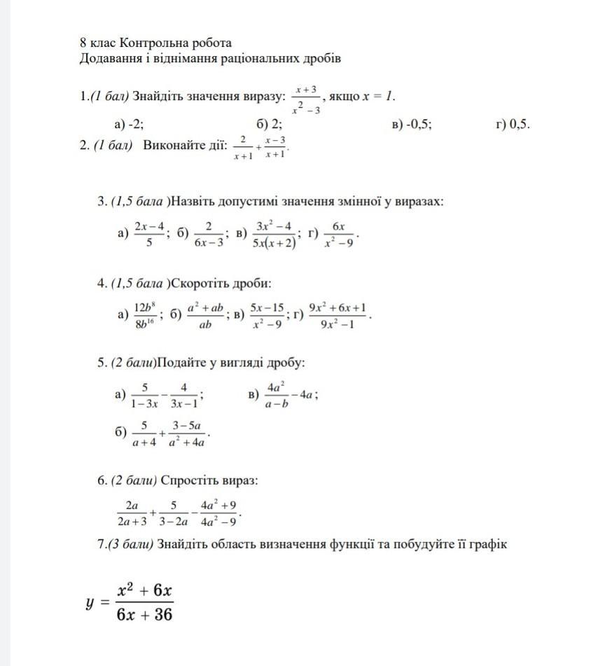
Приложения:

Ответы

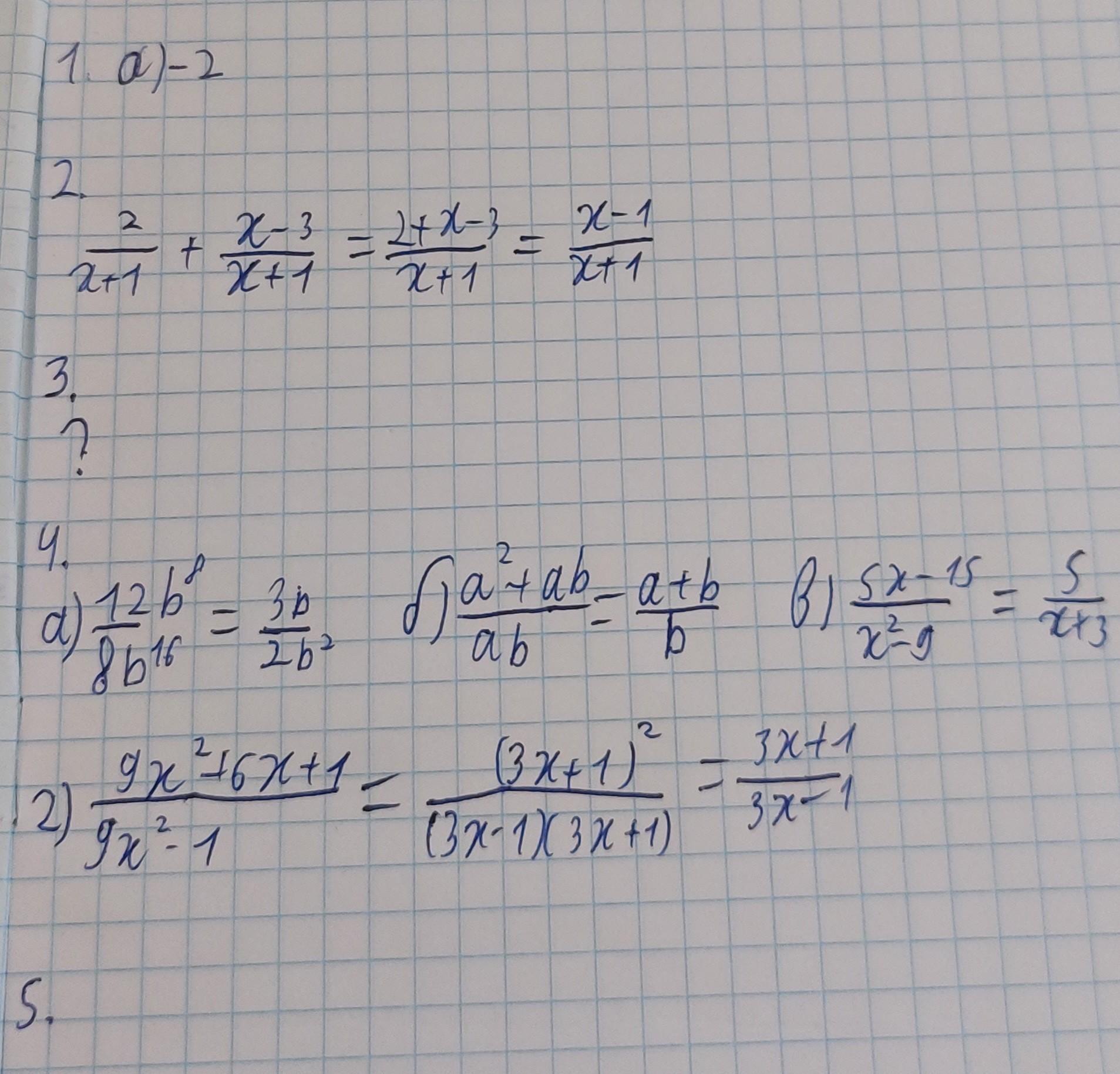
Ответ дал: Demonrip10
1

Объяснение:

6.там прода вот

 -  \frac{8}{2a - 3}

Приложения:

vitalinalll: Спасибо!! ♡♡
Вас заинтересует