Ответы
Ответ дал:
0
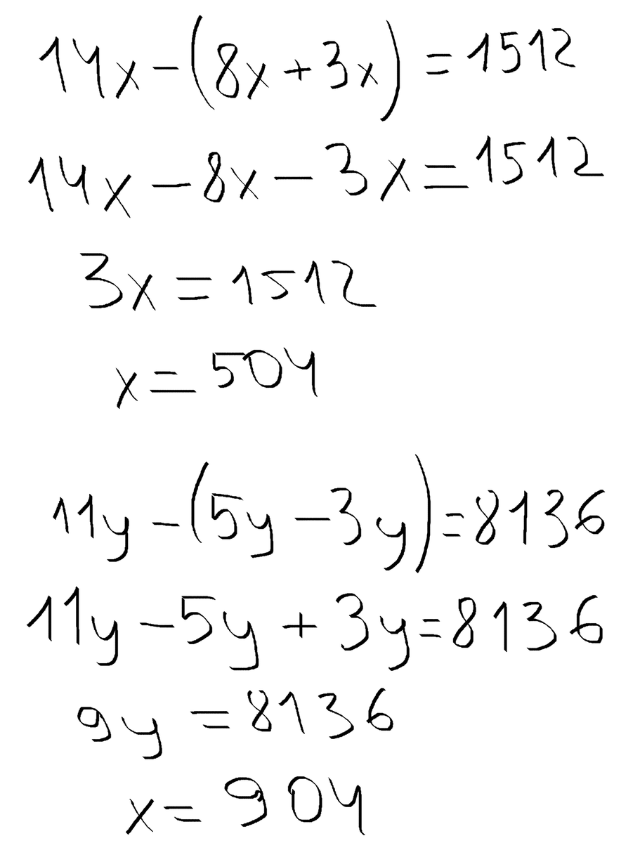
1)14x-(8x+3x)=1512
14x-11x=1512
3x=1512
x=1512:3
x=504
2)11y-(5y-3y)=8136
11y-2y=8136
9y=8136
y=8136:9
y=904
14x-11x=1512
3x=1512
x=1512:3
x=504
2)11y-(5y-3y)=8136
11y-2y=8136
9y=8136
y=8136:9
y=904
Ответ дал:
0
вот тебе решение....
Приложения:
Вас заинтересует
3 года назад
3 года назад
8 лет назад
8 лет назад
11 лет назад
11 лет назад
11 лет назад
11 лет назад