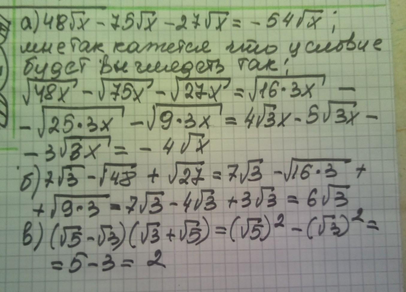
№ 2. Упрости выражение:
a) 48√х - 75√x-27√x; [16]
6) 7√3-√48+ √27; [26]
B) (√5-√3)(√3 + √5). [26]
Ответы
Ответ дал:
1
Ответ:
решение смотри на фотографии
Приложения:
Вас заинтересует
2 года назад
2 года назад
2 года назад
2 года назад
8 лет назад
8 лет назад
9 лет назад