• Предмет: Алгебра
  • Автор: geniyjcjccjjccj
  • Вопрос задан 3 года назад

срочно даю 30 балов решите срочноо​

Приложения:

Ответы

Ответ дал: Аноним
0

Ответ:

Объяснение:

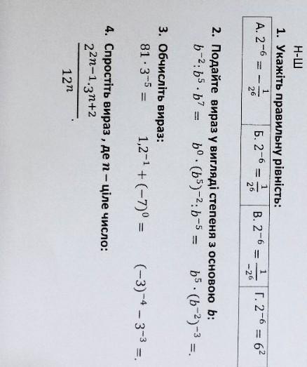
1. 2⁻⁶=1/2⁶

А. 2⁻⁶=-1/2⁶ - неверное равенство

Б. 2⁻⁶=1/2⁶ - верное равенство

В. 2⁻⁶=1/(-2⁶) - неверное равенство

Г. 2⁻⁶=6² - неверное равенство.

2. b⁻²÷b⁵·b⁷=b⁻²⁻⁵⁺⁷=b⁰

b⁰·(b⁵)⁻²÷b⁻⁵=b^(0+5·(-2)-(-5))=b⁻¹⁰⁺⁵=b⁻⁵

b⁵·(b⁻²)⁻³=b^(5+(-2)·(-3))=b¹¹

3. 81·3⁻⁵=3⁴·3⁻⁵=3⁴⁺⁽⁻⁵⁾=3⁻¹=1/3

1,2⁻¹+(-7)⁰=1/1,2 +1=1 10/12=1 5/6

(-3)⁻⁴-3⁻³=-1/3⁴ -1/3³=-1/81 -1/9=-1/81 -9/81=-10/81

4. n∈Z

(2²ⁿ⁻¹·3ⁿ⁺²)/12ⁿ=(2²ⁿ⁻¹·3ⁿ⁺²)/((2²)ⁿ·3ⁿ)=2²ⁿ⁻¹⁻²ⁿ·3ⁿ⁺²⁻ⁿ=2⁻¹·3²=9/2=4,5

Вас заинтересует