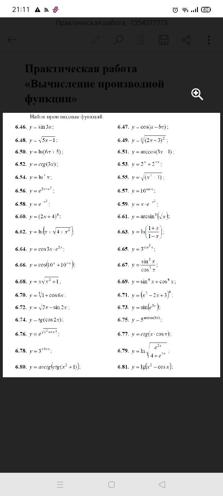
Приветствую я вообще не понимаю тему производных поэтому прошу мне помочь.Даю 90 баллов
Приложения:

Ответы
Ответ дал:
0
Відповідь:
нічого не видно скинь нормально розвяжу з пояснення
Покрокове пояснення:
Вас заинтересует
2 года назад
2 года назад
7 лет назад
7 лет назад
9 лет назад
9 лет назад