Срочно пжпжпжпжппжпж дам 20
Розв'яжіть рівняння:
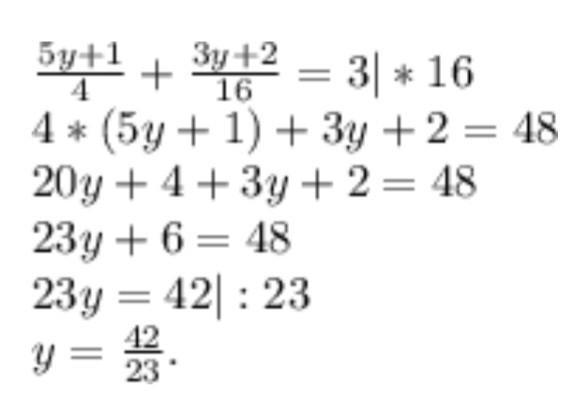
1) 5(x-2) - 3 x = 2x + (10-6x); 2) 5y+1/4 + 3y+2/16 = 3;
Ответы
Ответ дал:
2
Ответ:
1) 5(x−2)+3x=2x−(10−6x)
5x−10+3x=2x−10+6x
5x+3x−2x−6x=−10+10
6x−6x=−10+10
0=0.
Приложения:

omirgozhaernur:
ты место + написал -
Ответ дал:
1
Ответ:5(х-2)-3х = 2х + (10 - 6х)
5х - 10 - 3х = 2х + 10 - 6х
2х - 10 = 10 - 4х
6х = 20
х = 10/3
5у+ 1/4 + 3у + 2/16 = 3
8у + 4/16 + 2/16 = 3
8у + 6/16 = 3
8у = 48/16 - 6/16
8у = 42/16
у = 42/128
у = 21/64
Объяснение:
Вас заинтересует
2 года назад
2 года назад
2 года назад
7 лет назад
7 лет назад