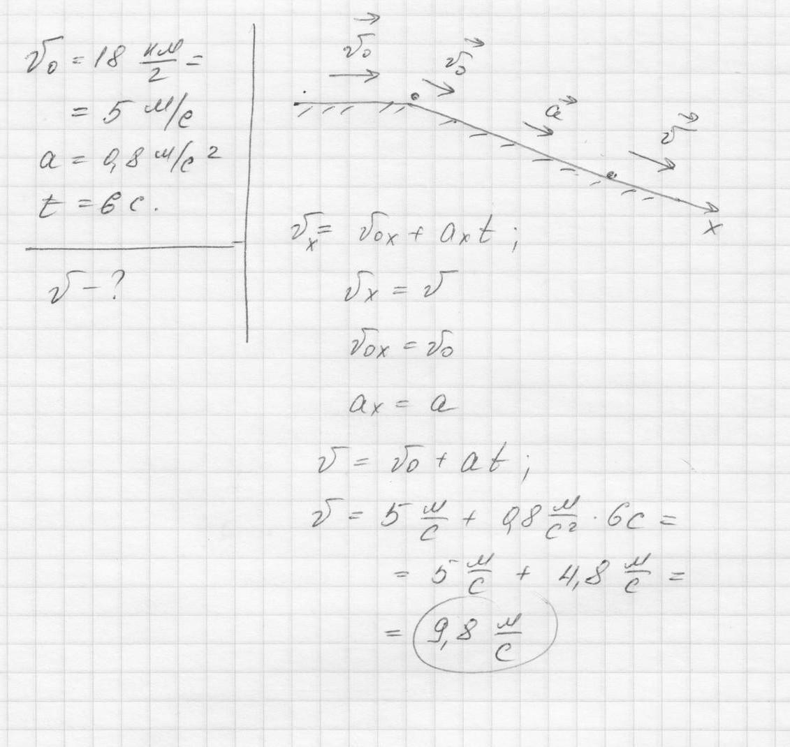
Велосипедист, едущий со скоростью 18 км/ч, начинает спускаться с горы. Определите скорость и перемещение велосипедиста через 6 с, если ускорение равно 0,8 м/с?
Ответы
Ответ дал:
0
Ответ:
18 км/ч будет начальной скоростью для спуска, ускорение показывает, что скорость каждую секунду будет увеличиваться на 0,8 м/с в кв. Можно посчитать уже и усно, но правильно будет использовать формулы (закономерности).
Решение прилагается.
Приложения:

Вас заинтересует
2 года назад
2 года назад
7 лет назад
7 лет назад
9 лет назад
9 лет назад