• Предмет: Алгебра
  • Автор: vikakas73
  • Вопрос задан 3 года назад

хей помогите пожалуйста ​

Приложения:

Ответы

Ответ дал: himikomat
1

Ответ:

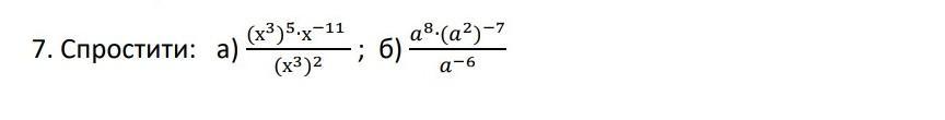
a)

 \frac{(x {}^{3}) {}^{5} \times x {}^{ - 11}   }{( {x}^{3}) {}^{2}  }

 \frac{x {}^{15} \times x {}^{ - 11}  }{( {x}^{3}) {}^{2}  }

 \frac{x {}^{15} \times x {}^{ - 11}  }{x {}^{6} }

 \frac{ {x}^{4} }{ {x}^{6} }

 \frac{1}{ {x}^{2} }

б)

 \frac{ {a}^{8}  \times ( {a}^{2}) {}^{ - 7}  }{ {a}^{ - 6} }

 \frac{ {a}^{8} \times  {a}^{ - 14}  }{ {a}^{ - 6} }

 \frac{ {a}^{ - 6} }{ {a}^{ - 6} }

1

формулы:

(n^m)^m=n^m*m

n^m*n^m=n^m+m


himikomat: если не знаешь формулы могу полное решение написать
vikakas73: наверное напишите пожалуйста
Вас заинтересует