• Предмет: Алгебра
  • Автор: mdasa21
  • Вопрос задан 3 года назад

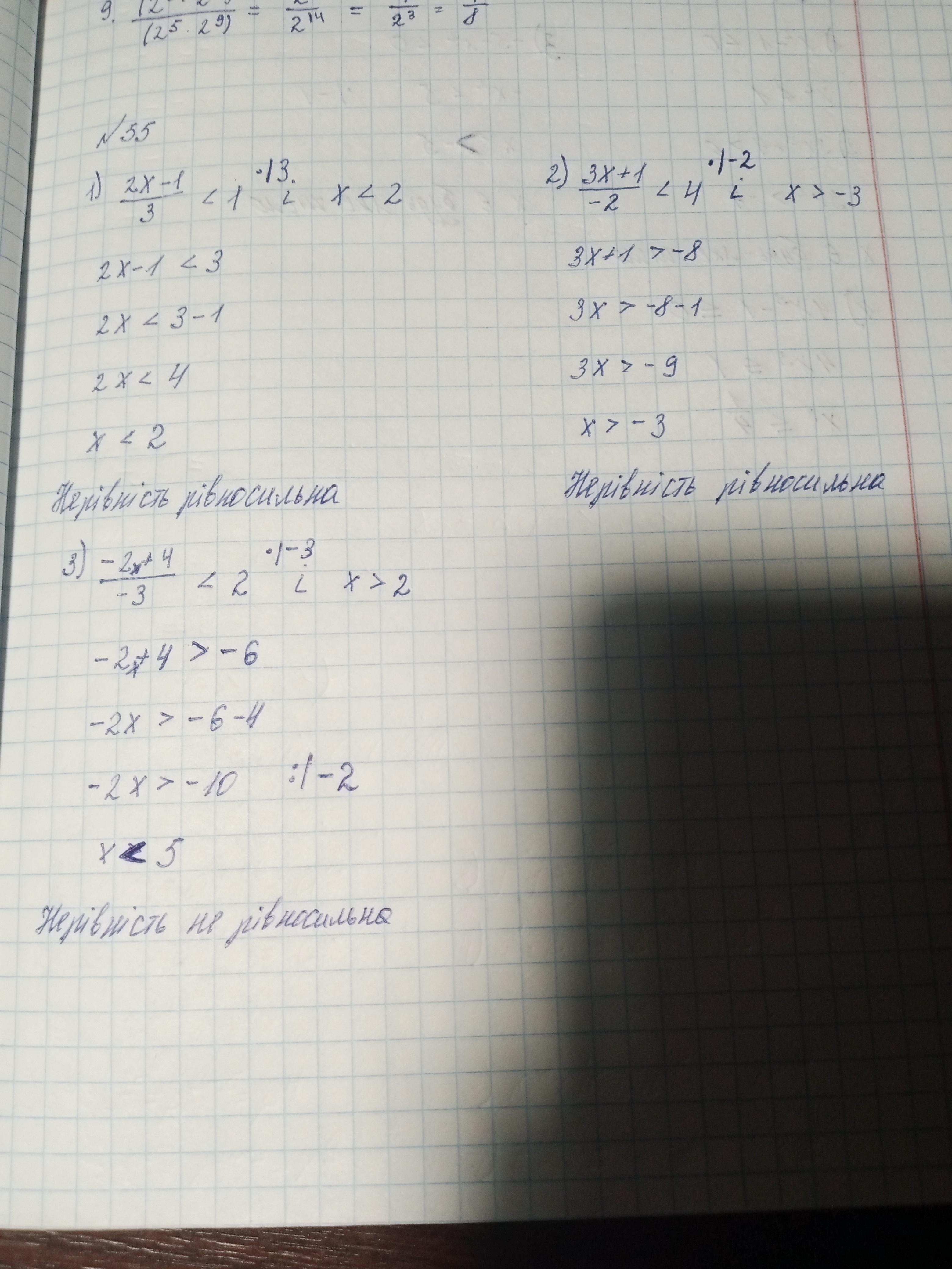
№53, №55............​

Приложения:

Ответы

Ответ дал: konovalovakris101120
1

Ответ: в 53 я не уверена там 1 ) неправильная нерівність х^2 завжди буде більше 1, а у нас знак менше, 2) х є будь-яке число, 3) х є будь яким числом, 4) х^3 буде строго більше 1/4, а у нас меньше або дорівнює тому нерівність неправильна. В 55 1) Так, 2) Так, 3) Ні

Объяснение:

Приложения:

mdasa21: Благодарю. Спасибо вам огромное!
konovalovakris101120: Пожалуйста )))
mdasa21: Здравствуйте. Можете мне помочь? пожалуйста... буду очень благодарна!
konovalovakris101120: Извини что не отвечала была занята уроками, смогу напиши сюда когда скинешь задание))
konovalovakris101120: Я увидела задание, щас попробую сделать)
mdasa21: Не извиняйтесь. Я понимаю, что у вас есть своя жизнь и свои дела.
mdasa21: Жду)
Вас заинтересует