• Предмет: Физика
  • Автор: yulia20875
  • Вопрос задан 3 года назад

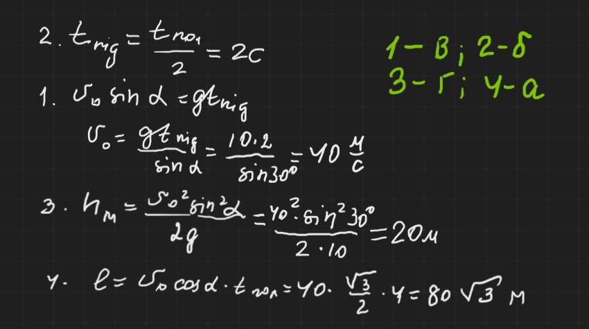
тіло, яке кинули під кутом 30⁰ до горизонту, було в польоті 4с. Установіть відповідність між фізичною величиною та її числовим значенням:

1) початкова швидкість
2 час підняття
3) діяльність польоту
4) максимальна висота підняття

а) 80√3
б) 2
в) 40
г)20
д) 120

Ответы

Ответ дал: zybkov1950
3

Відповідь:   Див. додаток

Пояснення:

Приложения:
Вас заинтересует