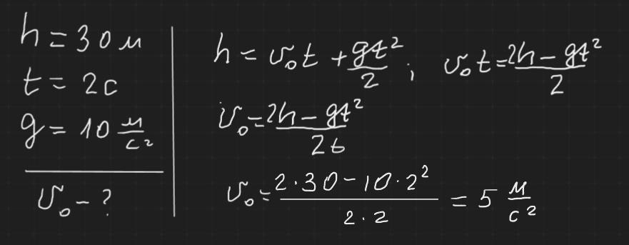
Якої початкової швидкості треба надати каменю, кидаючи його вертикально вниз з моста заввишки 30 м, щоб він долетів до поверхні води через 2 с?
Ответы
Ответ дал:
0
Відповідь: 5 м/с
Пояснення:
Приложения:
Вас заинтересует
2 года назад
2 года назад
2 года назад
2 года назад
8 лет назад
8 лет назад
9 лет назад
9 лет назад