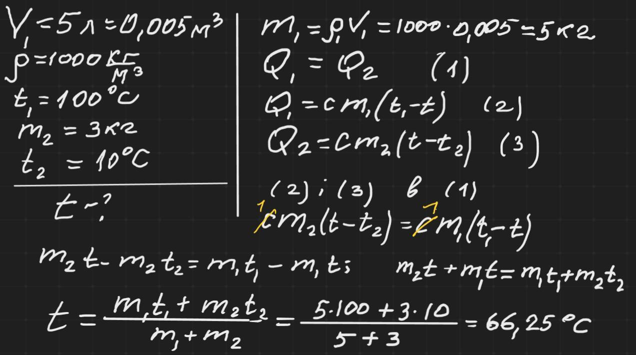
Яка температура встановиться, якщо змішати 5 л води при 1000С і 3 кг води при 100С? Прошу написать с объяснением, и рассписать.
Ответы
Ответ дал:
2
Відповідь: 66,25 ⁰С
Пояснення:
Приложения:

Вас заинтересует
2 года назад
2 года назад
2 года назад
7 лет назад
9 лет назад