• Предмет: Физика
  • Автор: pomogi3355
  • Вопрос задан 3 года назад


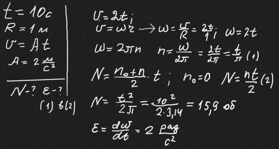
4. Знайти кількість обертів за 10 с після початку обертання та кутове прискорення
лопатки турбіни, розташованої на відстані 1 м від осі обертання, якщо залежність її
лінійної швидкості від часу задано рівнянням v = Аt, де А = 2 м/с.​

Ответы

Ответ дал: zybkov1950
1

Відповідь:  ≈ 15,9 обертів;   2 рад/с²

Пояснення:

Приложения:

pomogi3355: пожайлуста реши вопрос про мальчика
Вас заинтересует