• Предмет: Алгебра
  • Автор: jopaanegraa
  • Вопрос задан 3 года назад

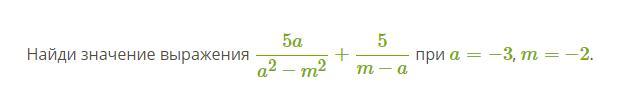
помогите пжжпжпжпжп даю много баллов

Приложения:

Ответы

Ответ дал: mariiavoroniuk2012
1

Ответ:

скачай програму Photomath

Объяснение:

помагает


jopaanegraa: там такие выражения нельзя решать 0_о
mariiavoroniuk2012: пон
Вас заинтересует