• Предмет: Геометрия
  • Автор: s6xzby99ta
  • Вопрос задан 3 года назад

СРОЧНО ПОМОГИТЕ!!
ДАЮ 70 БАЛЛОВ

Приложения:

aroslavhmara209: назва книги

Ответы

Ответ дал: aroslavhmara209
1

Відповідь:

ответ

Пояснення:

готово все на фото

Приложения:
Ответ дал: cvb115
1

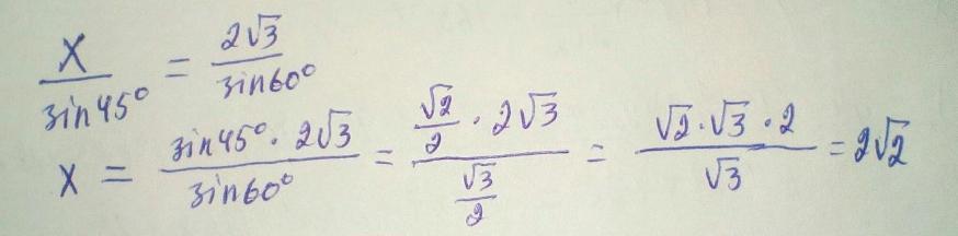
Ответ:

x=2√2

Объяснение:

Теорема синусів: сторони трикутника пропорційні синусам протилежних кутів \dfrac{a}{sin\alpha } =\dfrac{b}{sin\beta }

b=\dfrac{a*sin\beta }{sin\alpha }

b=\dfrac{2\sqrt{3}*sin45а }{sin60а} =\dfrac{2\sqrt{3} *\dfrac{\sqrt{2} }{2} }{\dfrac{\sqrt{3} }{2} } =\dfrac{\sqrt{6} }{\dfrac{\sqrt{3} }{2} } =\sqrt{6} *\dfrac{2}{\sqrt{3} } =2\sqrt{2}

Вас заинтересует