• Предмет: Химия
  • Автор: polinabobkova
  • Вопрос задан 10 лет назад

Помогите решить задачу по химии СРОЧНО!!!!!!!!!!


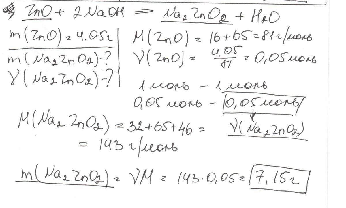
Проведено сплавление 4,05 г. оксида цинка ZnO с гидроксидом натрия, взятом в избытке. Определите массу и количество образовавшегося вещества-соли.

Ответы

Ответ дал: AscarisLumbricoides
0
,,,,,,,,,,,,,,,,,,,,,,,,,,,,,,,,,,,,
Приложения:
Вас заинтересует