• Предмет: Алгебра
  • Автор: kucikula261
  • Вопрос задан 3 года назад

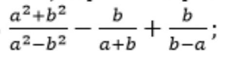
a²+b²/a²-b² - b/a+b + b/b-a​

Приложения:

Ответы

Ответ дал: pbygarevich
0

Ответ:

а-b/a+b

надіюсь допоможе))


kucikula261: а можно полный ответ?
pbygarevich: a2+b2/a2-b2 - b/a+b = a2+b2/(a-b)*(a+b) - b/a+b + b/-(a-b) = a2+b2/(a-b)*(a+b) - b/a+b - b/a-b = a2+b2-b*(a-b)-b*(a+b)/(a-b)*(a+b)= a2+b2-ab+b2-ab-b2/(a-b)*(a+b)= a2-2ab+b2/(a-b)*(a+b)= (a-b)2/(a-b)*(a+b)=a-b/a+b
Вас заинтересует