• Предмет: Алгебра
  • Автор: Аноним
  • Вопрос задан 3 года назад

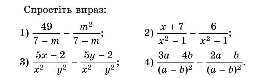
допоможіть будь ласка дуже срочно прошу даю 50 балов будь ласка прошу!!!!!!!!!!!!!​

Приложения:

Ответы

Ответ дал: manyny06
1

Ответ:

решение смотри на фотографии

Приложения:

Аноним: Велике дякую!!!!!!
Вас заинтересует