• Предмет: Алгебра
  • Автор: gkdfvzrp
  • Вопрос задан 3 года назад

виконайте дію
1) (16-2р)
2) (-2)/(р+4)
3) 16/ (p2+4p)
4) (2p)/ (p2+4p)

Приложения:

Ответы

Ответ дал: tpro9719
0

Ответ:

вариант 2) (-2)/(p+4).

Ответ дал: himikomat
1

Ответ:

2 вариант

решение:

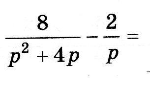
 \frac{8}{ {p}^{2} + 4p }  -  \frac{2}{p}

 \frac{8}{p(p + 4)}  -  \frac{2}{p}

 \frac{8}{p(p + 4)}  -  \frac{(p + 4) \times 2}{(p + 4) \times p}

 \frac{8}{p(p + 4)}  -  \frac{(p + 4) \times 2}{p(p + 4)}

 \frac{8 - 2(p + 4)}{p(p + 4)}  \\  \frac{8 - 2p - 8}{p(p + 4)} \\  \frac{ - 2p}{p(p + 4)}

сокращаем на общий делитель p:

2

-___

p+4

-2

___

p+4

Вас заинтересует