• Предмет: Алгебра
  • Автор: llydhejdkdjd
  • Вопрос задан 3 года назад

60 баллов!
помогите ради бога

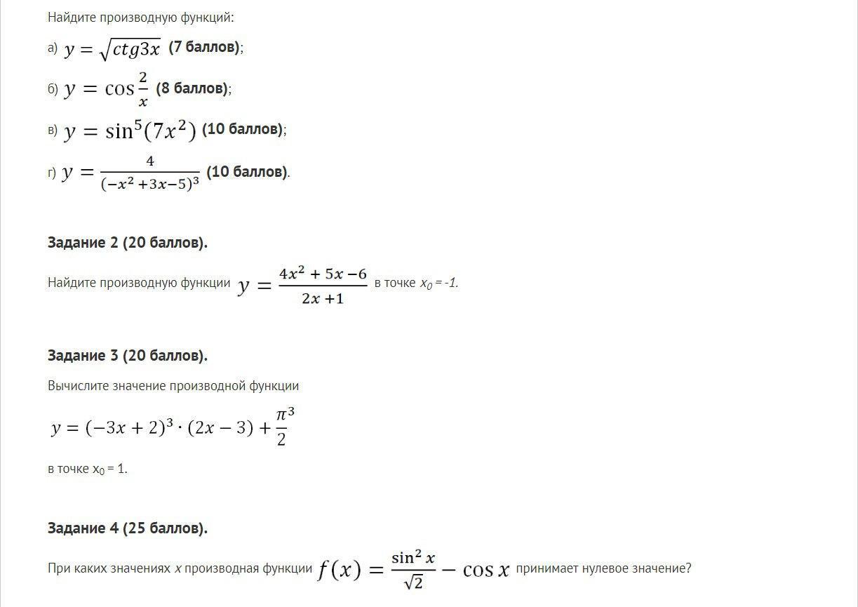
Приложения:

Ответы

Ответ дал: alivazovemirkhan
0

Ответ:

hgchgguejejejdjrjdnsusudhsbsicn dnruxbc

Вас заинтересует