• Предмет: Физика
  • Автор: oksenchuckirina
  • Вопрос задан 3 года назад

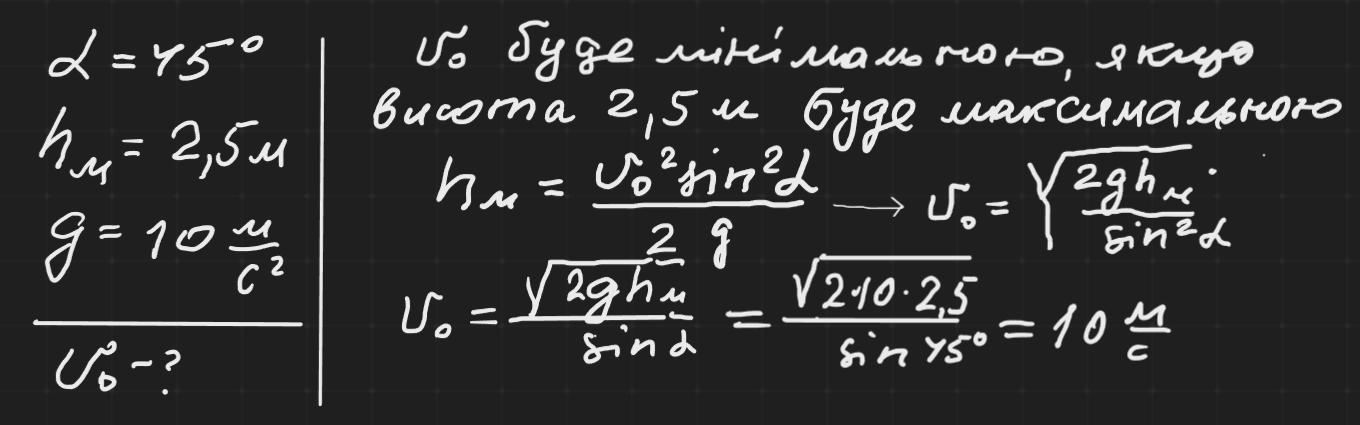
З якою мінімальною швидкістю потрібно кинути під кутом
45° до горизонту камінь, щоб він досяг висоти 2,5 м?

Ответы

Ответ дал: zybkov1950
2

Відповідь: 10 м/с

Пояснення:

Приложения:
Вас заинтересует