• Предмет: Алгебра
  • Автор: SevenZii
  • Вопрос задан 3 года назад

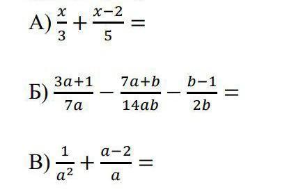
выполните добавление или вычитание дробей
А) x/3 + x-2/5 =
Б) 3а+1/7а - 7а+b/14ab - b-1/2b =
В) 1/а² + а-2/а =​

Приложения:

Ответы

Ответ дал: Sashasab
1

Ответ:

а) 8x-6/15

б) 13a+3/14a

в) (a^2)-2a+1/a^2

Вас заинтересует