• Предмет: Алгебра
  • Автор: SevenZii
  • Вопрос задан 3 года назад

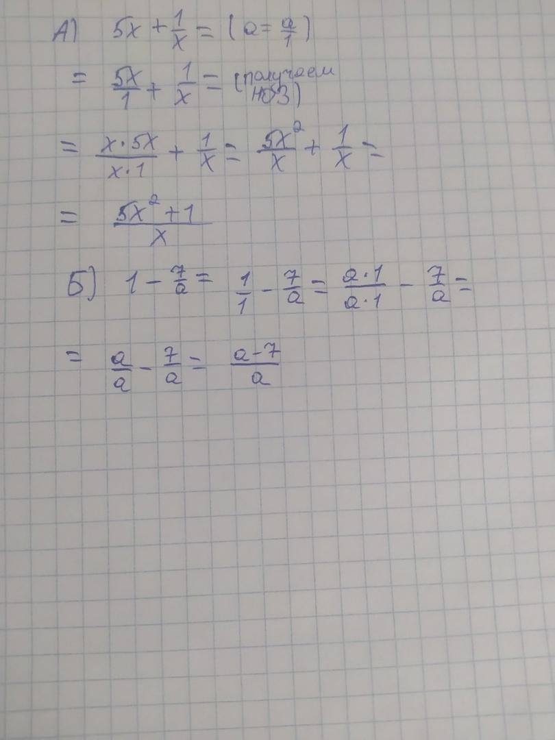
подайте в виде дроби
А) 5х + 1/х =
Б) 1 - 7/а =​

Приложения:

Ответы

Ответ дал: KeshaAstrom
1

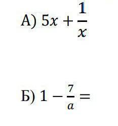
Ответ: НОЗ - наименьший общий знаменатель...

Второй решается по такому же "алгоритму"

Объяснение:

Приложения:
Вас заинтересует