• Предмет: Геометрия
  • Автор: химик555
  • Вопрос задан 10 лет назад

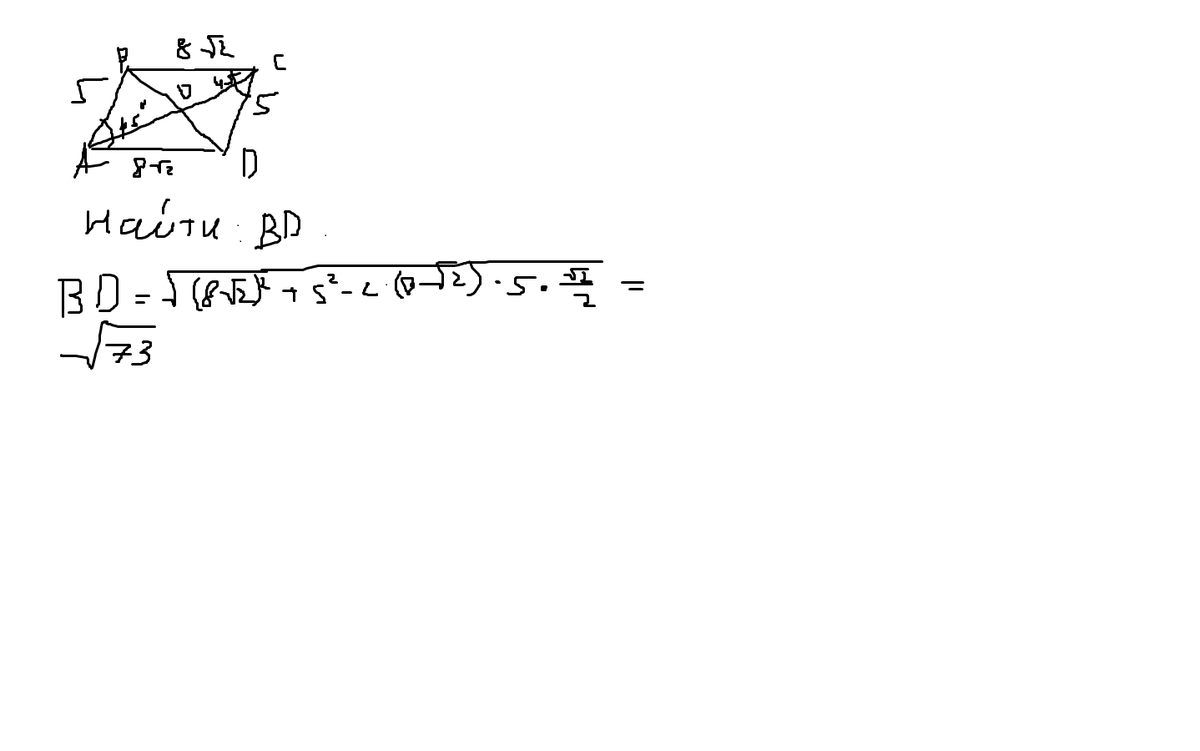
Стороны параллелограмма, заключающие угол 45 градусов, равны 5 см и 8√2 см. Определите меньшую диагональ параллелограмма.

Ответы

Ответ дал: Аноним
0
Решение во вложениях)))))))))))
Приложения:
Ответ дал: химик555
0
а че в скобках? не могу разобрать))
Ответ дал: Аноним
0
8корень из 2
Вас заинтересует