Помогите!
1) В реакцию этерификации вступило 300 г уксусной кислоты и 200 г этанола.Сколько граммов и молей эфира образовалось,если выход реакции составляет 85%?
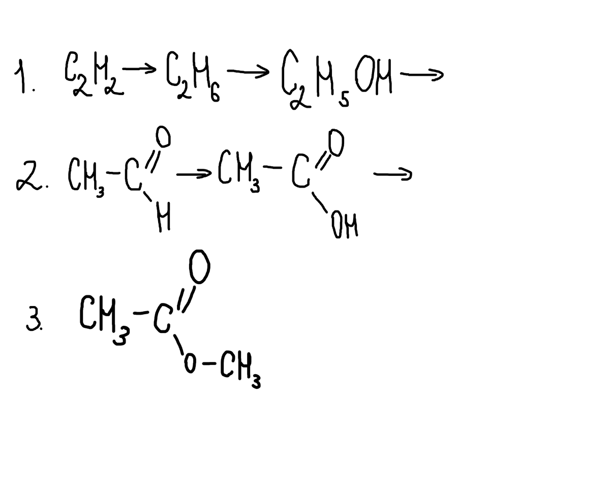
2)Приведите уравнения реакций,удовлетворяющие схеме:
Приложения:

Ответы
Ответ дал:
0
молекул масса укс кислоты СH₃COOH =60г/моль
М( C₂H₅OH)=46г/моль
Колич вещества по реакции укс кислоты и этанола равны =1 моль .. найдем по условию n( CH₃COOH)= 300/60=5 моль
n( C₂H₅OH)= 200:46=4,3 моль взят в недостатке прореагировал полностью
M ( CH₃COO-C₂H₅) эфира= 88г/моль
m (CH₃COOC₂H₅) =4,3*88=382г
При выходе 85% масса реально получ эфира составит
m ( эфира) 382* 85% :100%= 325г
Количество моль : 3.7 моль по условию
вторая запись, наверное, единое целое такого генетического ряда:
С₂H₂ +2H₂(t,катализ-р) ⇒C₂H₆
С₂Н₆ +Cl₂⇒C₂H₅Cl +HCl
C₂H₅Cl+ KOH( спирт раствор едкой щелочи)=C₂H₅OH + KCl
С₂H₅OH + {O}⇒CH₃COH (альдегид уксусный)
СH₃COH {O}⇒CH₃COOH ( кислота уксусная)
CH₃COOH +CH₃OH⇒CH₃COOCH₃ ( метиловый эфир укс кислоты)
М( C₂H₅OH)=46г/моль
Колич вещества по реакции укс кислоты и этанола равны =1 моль .. найдем по условию n( CH₃COOH)= 300/60=5 моль
n( C₂H₅OH)= 200:46=4,3 моль взят в недостатке прореагировал полностью
M ( CH₃COO-C₂H₅) эфира= 88г/моль
m (CH₃COOC₂H₅) =4,3*88=382г
При выходе 85% масса реально получ эфира составит
m ( эфира) 382* 85% :100%= 325г
Количество моль : 3.7 моль по условию
вторая запись, наверное, единое целое такого генетического ряда:
С₂H₂ +2H₂(t,катализ-р) ⇒C₂H₆
С₂Н₆ +Cl₂⇒C₂H₅Cl +HCl
C₂H₅Cl+ KOH( спирт раствор едкой щелочи)=C₂H₅OH + KCl
С₂H₅OH + {O}⇒CH₃COH (альдегид уксусный)
СH₃COH {O}⇒CH₃COOH ( кислота уксусная)
CH₃COOH +CH₃OH⇒CH₃COOCH₃ ( метиловый эфир укс кислоты)
Вас заинтересует
2 года назад
2 года назад
8 лет назад
8 лет назад
10 лет назад
10 лет назад