• Предмет: Алгебра
  • Автор: AhRef
  • Вопрос задан 3 года назад

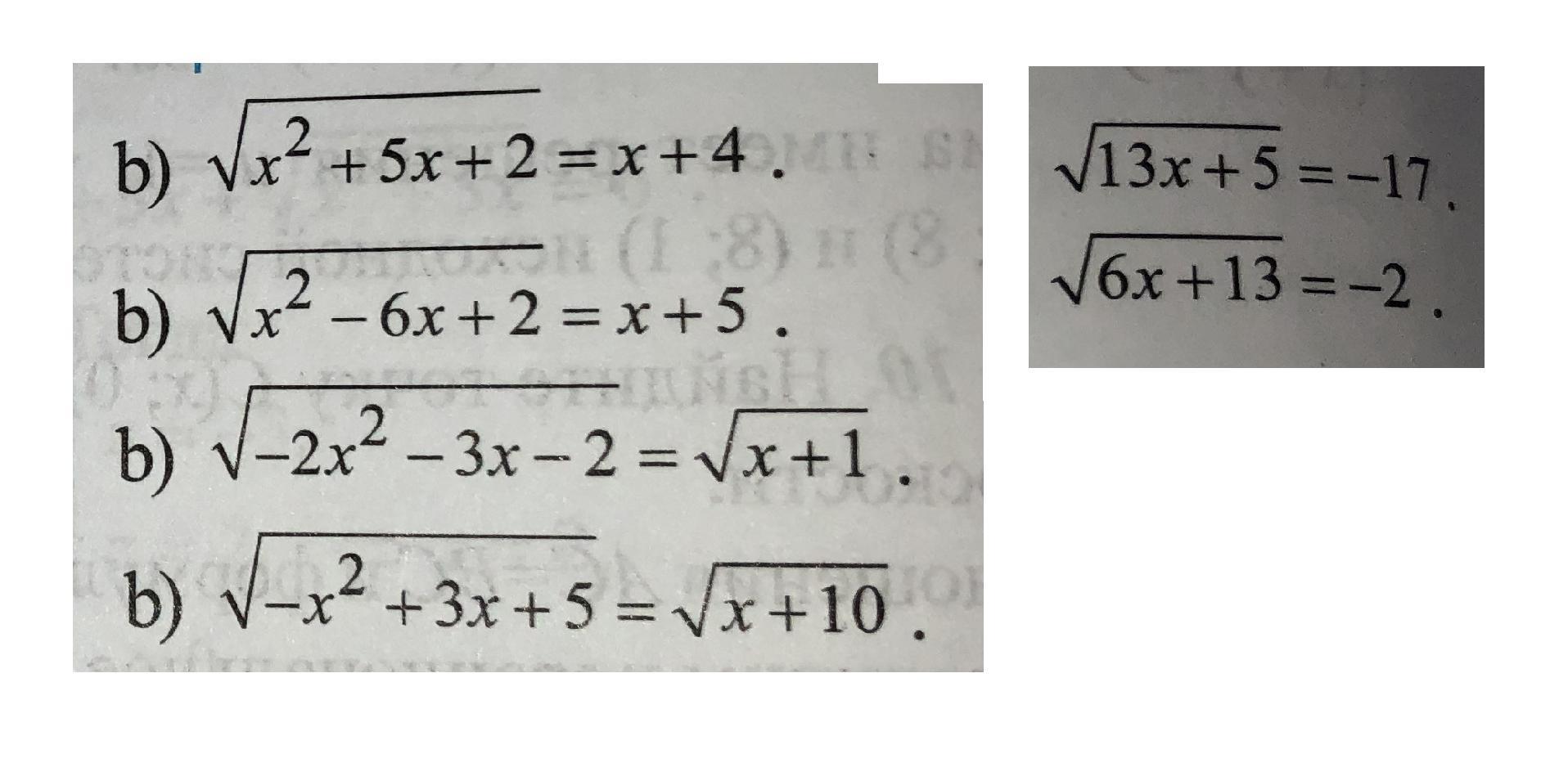
Помогите пожалуйста решить эти уравнения.

Приложения:

Ответы

Ответ дал: Bober121
0

Ответ:

Объяснение:

1) Ø

2)х=-23/16

3)Ø

4)x∉R


AhRef: А можете добавить решение?
Вас заинтересует