• Предмет: Алгебра
  • Автор: maashaandreyuk
  • Вопрос задан 3 года назад

очень нужна помощь !​

Приложения:

Ответы

Ответ дал: evgenia640
1

надеюсь тебе понятно, вселуйщий раз скачай Photomath

Приложения:
Ответ дал: maria1234q
0

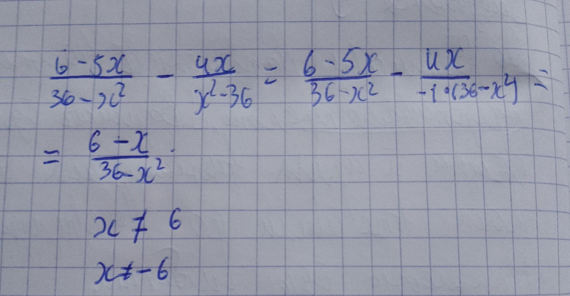
Ответ:

(6-х)/(36-х²)

Объяснение:

Дальше не преобразовать, т.к. это ничего не равно

Приложения:
Вас заинтересует