Ответы
Ответ дал:
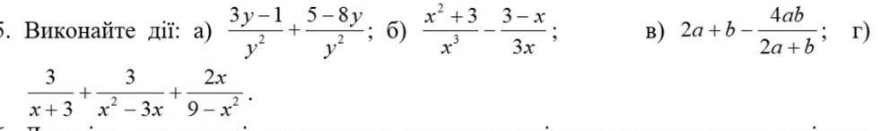
1
0192883838282377373u3
Приложения:




Вас заинтересует
2 года назад
2 года назад
2 года назад
2 года назад
7 лет назад
9 лет назад