• Предмет: Алгебра
  • Автор: rosabeauty80
  • Вопрос задан 3 года назад

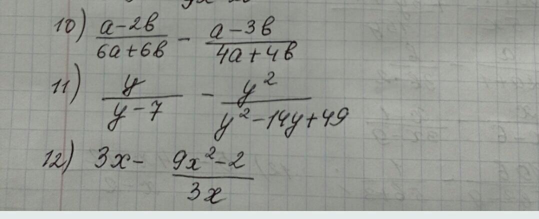
Алгебра 8 класс. Очень нужна помощь. 50 баллов. Розв'язання вправ на додавання і віднімання раціональних дробів. С подробным решением. Спасибо . Всё задание разбил на четыре части из трёх примеров. Это 4 часть задания из 4

Приложения:

Ответы

Ответ дал: xSkaz123
0

руокоокококоококодержи

Приложения:

rosabeauty80: Мне нужно подробное решение
Вас заинтересует