• Предмет: Физика
  • Автор: karina190509
  • Вопрос задан 3 года назад

СРОЧНО, 50 БАЛЛОВ

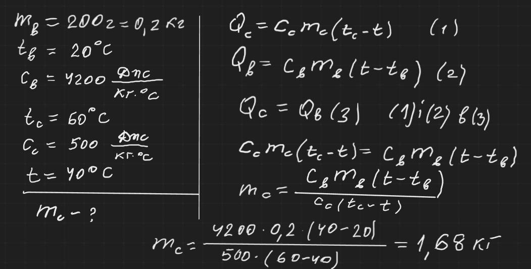
У калориметр налили воду масою 200 г при температурі 20°С. Яка маса нагрітого до 60°С стального тіла, яке вкинули у калориметр, коли темпе-ратура води і тіла стала 40°С? Питома теплоємність сталі 500 Дж/кг °C, води -4200 Дж/кг °C​

Ответы

Ответ дал: zybkov1950
3

Відповідь: 1,68 кг

Пояснення:

Приложения:

kimkarina953: доброе утро. вы не могли бы мне помочь с геометрией пожалуйста умоляюю
Вас заинтересует