• Предмет: Алгебра
  • Автор: makudria
  • Вопрос задан 3 года назад

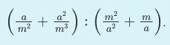
Алгебра!!! Срочно!!!

Приложения:

makudria: У вас обоих ошибка
makudria: ...

Ответы

Ответ дал: jixiolp
0

Ответ:

a³m²+a⁴

______

m⁵+am⁴

(спрощення виразу)

Ответ дал: manyny06
0

Ответ:

решение смотри на фотографии

Приложения:
Вас заинтересует